In this chapter we study in detail the structure of level
modular
forms, i.e., modular forms on
We assume some complex analysis (e.g., the residue theorem),
linear algebra, and that the reader has
read Chapter Modular Forms.
In this section we will finally see some examples of modular forms of
level
! We first introduce the Eisenstein series and
then define
, which is a cusp form of weight
. In
Section Structure Theorem for Level 1 Modular Forms we prove the structure theorem,
which says that all modular forms of level
are polynomials
in Eisenstein series.
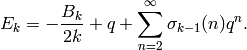
For an even integer
, the
nonnormalized weight
Eisenstein series is the
function on the extended upper half plane
given by
(1)
The star on top of the sum symbol means that
for each
the sum is over all
such that
.
Proposition 2.1
The function
is a modular form of weight
, i.e.,
.
Proof
See [Ser73, Section VII.2.3] for a proof
that
defines a holomorphic function on
.
To see that
is modular, observe that
where for the last equality we use that the map
on
is invertible.
Also,
where we use that
is invertible.
Proposition 2.2
, where
is the Riemann zeta
function.
Proof
As
(along the imaginary axis) in (1),
the terms that involve
with
go to
.
Thus
This sum is twice
,
as claimed.
¶Suppose
is an elliptic curve over
, viewed as a
quotient of
by a lattice
, with
(see [DS05, Section 1.4]).
The Weierstrass
-function of
the lattice
is
where the sum is over even integers
.
It satisfies the differential equation
If we set
and
, the above is an (affine) equation of
the form
for an elliptic curve that is complex
analytically isomorphic to
(see [Ahl78, pg. 277]
for why the cubic has distinct roots).
The discriminant of the cubic
is
, where
Since
is the difference of two modular forms of
weight
it has weight
. Morever,
so
is a cusp form of weight
.
Let
Lemma 2.3
If
, then
.
Proof
Let
and
.
Since
is an elliptic curve,
it has nonzero discriminant
.
Proposition 2.4
We have
.
Proof
See [Ser73, Thm. 6, pg. 95].
Remark 2.5
Sage computes the
-expansion of
efficiently
to high precision using the command delta_qexp:
sage: delta_qexp(6)
q - 24*q^2 + 252*q^3 - 1472*q^4 + 4830*q^5 + O(q^6)
Recall from (?) that elements
of
can be
expressed as formal power series in terms of
and
that this expansion is called the Fourier expansion of
.
The following proposition gives the Fourier expansion of the
Eisenstein series
.
Definition 2.6
For any integer
and any positive integer
,
the sigma function
is the sum of the
powers of the positive divisors of
.
Also, let
, which is the number
of divisors of
, and let
.
For example, if
is prime, then
.
Proposition 2.7
For every even integer
, we have
Proof
See [Ser73, Section VII.4], which uses clever manipulations of series, starting with the identity
From a computational point of view, the
-expansion of
Proposition 2.7 is unsatisfactory because it involves
transcendental numbers. To understand these numbers, we introduce the
Bernoulli numbers
for
defined by the
following equality of formal power series:
(2)
Expanding the power series, we have
As this expansion suggests, the Bernoulli numbers
with
odd
are
(see Exercise 2.2). Expanding the series further,
we obtain the following table:
See Section Fast Computation of Bernoulli Numbers for a discussion of fast (analytic) methods for computing Bernoulli numbers.
We compute some Bernoulli numbers in Sage:
sage: bernoulli(12)
-691/2730
sage: bernoulli(50)
495057205241079648212477525/66
sage: len(str(bernoulli(10000)))
27706
A key fact is that Bernoulli numbers are
rational numbers and they are connected to values of
at
positive even integers.
Proposition 2.8
If
is an even integer, then
Proof
This is proved
by manipulating a series expansion of
(see [Ser73, Section VII.4]).
Definition 2.9
The normalized Eisenstein series of even weight
is
Combining Proposition 2.7 and Proposition 2.8, we see that
(3)
Warning
Our series
is normalized so that the coefficient of
is
, but often in the literature
is normalized so that the
constant coefficient is
. We use the normalization with the
coefficient of
equal to
, because then the eigenvalue of the
Hecke operator (see Section Hecke Operators) is the
coefficient of
. Our normalization is also convenient when
considering congruences between cusp forms and Eisenstein series.
In this section we describe a structure theorem for modular
forms of level
.
If
is a nonzero meromorphic function on
and
, let
be the largest integer
such that
is
holomorphic at
. If
with
, we set
. We will use the following
theorem to give a presentation for the vector space of modular forms
of weight
; this presentation yields an algorithm
to compute this space.
Let
denote the complex vector space of modular
forms of weight
for
. The
standard fundamental domain
for
is the set of
with
and
. Let
.
Theorem 2.11
Let
be any integer and
suppose
is nonzero. Then
where
is the sum over elements of
other than
and
!.
Proof
The proof in [Ser73, Section VII.3] uses the residue theorem.
Let
index{
}
denote the subspace of weight
cusp forms for
. We have
an exact sequence
that sends
to
. When
is even, the
space
contains the Eisenstein series
, and
, so the map
is surjective.
This proves the following lemma.
Lemma 2.12
If
is even, then
and the following sequence is exact:
Proposition 2.13
For
and
, we have
.
Proof
Suppose
is nonzero yet
or
. By
Theorem 2.11,
This is not possible because each quantity on the left is nonnegative so
whatever the sum is, it is too big (or
, in which case
).
Theorem 2.14
Multiplication by
defines an isomorphism
.
Proof
By Lemma 2.3,
is not identically
, so
because
is holomorphic, multiplication
by
defines an injective map
.
To see that this map is surjective, we show that if
, then
.
Since
has weight
and
,
Theorem 2.11 implies that
has a simple
zero at
and does not vanish on
.
Thus if
and if we let
, then
is holomorphic
and satisfies the appropriate transformation formula, so
.
Corollary 2.15
For
, the space
has dimension
, with
basis
,
,
,
,
, and
, respectively, and
.
Proof
Combining Proposition 2.13 with
Theorem 2.14, we see that the spaces
for
cannot have dimension greater than
, since otherwise
for some
. Also
has dimension at most
, since
has dimension
. Each of the indicated spaces of weight
contains the indicated Eisenstein series and so has
dimension
, as claimed.
Corollary 2.16
Here
is the biggest integer
.
Proof
As we have already seen above, the formula is true when
.
By Theorem 2.14, the dimension increases by
when
is replaced by
.
Theorem 2.17
The space
has as basis the modular forms
, where
run over all pairs of nonnegative integers such that
.
Proof
Fix an even integer
. We first prove by induction that the
modular forms
generate
; the cases
and
follow from the above arguments (e.g., when
, we have
and
basis
). Choose some pair of nonnegative integers
such that
. The form
is not a cusp form, since it is nonzero at
.
Now suppose
is arbitrary. Since
, there
exists
such that
. Then by
Theorem 2.14, there is
such that
. By induction,
is a polynomial in
and
of the required type, and so is
, so
is
as well. Thus
spans
.
Suppose there is a nontrivial linear relation between the
for a given
. By multiplying the linear relation by a
suitable power of
and
, we may assume that we have
such a nontrivial relation with
. Now divide the
linear relation by the weight
form
to see that
satisfies a polynomial with coefficients in
(see Exercise 2.4). Hence
is a root of a polynomial, hence a constant, which is a
contradiction since the
-expansion of
is not
constant.
Algorithm 2.18
Given integers
and
, this algorithm computes
a basis of
-expansions for the complex vector
space
mod
. The
-expansions output
by this algorithm have coefficients in
.
, output the basis with just
in it and
terminate; otherwise if
or
is odd, output the empty
basis and terminate.
and
mod
using the
formula from (3) and Section Fast Computation of Bernoulli Numbers.
.
between
and
, compute
.
If
is an integer, compute and output the basis
element
. When computing
, find
for each
, and save these
intermediate powers, so they can be reused later, and
likewise for powers of
.Proof
This is simply a translation of Theorem 2.17
into an algorithm, since
is a nonzero scalar multiple
of
. That the
-expansions have coefficients
in
follows from (3).
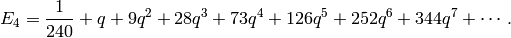
Example 2.19
We compute a basis for
, which is the space with
smallest weight whose dimension is greater than
.
It has as basis
,
, and
, whose explicit
expansions are
We compute this basis in Sage as follows:
sage: E4 = eisenstein_series_qexp(4, 3)
sage: E6 = eisenstein_series_qexp(6, 3)
sage: E4^6
1/191102976000000 + 1/132710400000*q
+ 203/44236800000*q^2 + O(q^3)
sage: E4^3*E6^2
1/3511517184000 - 1/12192768000*q
- 377/4064256000*q^2 + O(q^3)
sage: E6^4
1/64524128256 - 1/32006016*q + 241/10668672*q^2 + O(q^3)
In Section The Miller Basis, we will discuss the
reduced echelon form basis for
.
Lemma 2.20
The space
has a basis
such
that if
is the
coefficient of
, then
for
. Moreover
the
all lie in
. We call this basis the
Miller basis for
.
This is a straightforward construction involving
,
and
. The following proof very closely follows
[Lan95, Ch. X,Thm. 4.4], which in turn follows the
first lemma of V. Miller’s thesis.
Proof
Let
. Since
and
, we note that
and
have
-expansions in
with leading coefficient
.
Choose integers
such that
with
when
, and let
Then it is elementary to check that
has weight 
Hence the
are linearly independent over
, so form
a basis for
. Since
, and
are all in
,
so are the
. The
may then be constructed from the
by Gauss elimination. The coefficients of the resulting power series lie in
because each time we clear a column we use the power series
whose leading coefficient is
(so no denominators are introduced).
Remark 2.21
The basis coming from Miller’s lemma is “canonical”“,
since it is just the reduced row echelon form of any basis.
Also the set of all integral linear combinations of
the elements of the Miller basis are precisely
the modular forms of level
with integral
-expansion.
We extend the Miller basis to all
by taking
a multiple of
with constant term
and subtracting
off the
from the Miller basis so that the
coefficients of
of
the resulting expansion are
. We call the extra basis
element
.
Example 2.22
If
, then
. Choose
, since
.
Then
and
We let
and
Example 2.23
When
, the Miller basis including
is
Example 2.24
The Sage command victor_miller_basis computes the Miller
basis to any desired precision given
.
sage: victor_miller_basis(28,5)
[
1 + 15590400*q^3 + 36957286800*q^4 + O(q^5),
q + 151740*q^3 + 61032448*q^4 + O(q^5),
q^2 + 192*q^3 - 8280*q^4 + O(q^5)
]
Remark 2.25
To write
as a polynomial in
and
,
it is wasteful to compute the Miller basis. Instead,
use the upper triangular (but not echelon!) basis
, and match coefficients from
to
.
In this section we define Hecke operators on level
modular forms and
derive their basic properties. We will not give proofs of the
analogous properties for Hecke operators on higher level modular
forms, since the proofs are clearest in the level
case, and the
general case is similar (see, e.g., [Lan95]).
For any positive integer
, let
Note that the set
is in bijection with the set of subgroups of
of index
, where
corresponds to
, as one can see using
Hermite normal form, which is the analogue over
of
echelon form (see Exercise 7.5).
Recall from (?) that
if
, then
Definition 2.26
The
Hecke operator
of weight
is the operator on the set of functions on
defined by
Remark 2.27
It would make more sense to write
on the right, e.g.,
, since
is defined using
a right group action.
However, if
are integers, then the action of
and
on weakly modular functions commutes (by
Proposition 2.29 below), so it makes no difference
whether we view the Hecke operators of given weight
as
acting on the right or left.
Proposition 2.28
If
is a weakly modular function of weight
, then so is
; if
is a modular function, then so is
.
Proof
Suppose
. Since
induces an automorphism of
,
X_n \cdot \gamma = \{ \delta \gamma : \delta\in X_n\}
is also in bijection with the subgroups
of
of index
.
For each element
, there
is
such that
(the
element
transforms
to Hermite normal form),
and the set of elements
is thus equal to
.
Thus
A finite sum of meromorphic function is
meromorphic, so
is weakly modular.
If
is holomorphic on
, then
each
is holomorphic on
for
.
A finite sum of holomorphic functions is holomorphic,
so
is holomorphic.
We will frequently drop
from the notation in
, since
the weight
is implicit in the modular function to which
we apply the Hecke operator. Henceforth we make the
convention that if we write
and if
is modular,
then we mean
, where
is the weight of
.
Proposition 2.29
On weight
modular functions we have
(4)
and
(5)
Proof
Let
be a subgroup of index
. The quotient
is an
abelian group of order
, and
, so
decomposes
uniquely as a direct sum of a subgroup of order
with a subgroup of
order
. Thus there exists a unique subgroup
such that
, and
has index
in
. The
subgroup
corresponds to an element of
, and the index
subgroup
corresponds to multiplying that element on
the right by some uniquely determined element of
. We thus
have
i.e., the set products of elements in
with elements of
equal the elements of
, up to
-equivalence.
Thus for any
, we have
. Applying this formula with
and
swapped yields the equality
.
We will show that
.
Suppose
is a weight
weakly modular function.
Using that
,
we have
Also
Thus it suffices to show that
disjoint union
copies
of
is equal to
, where we
consider elements with multiplicities and up to left
-equivalence (i.e., the left action of
).
Suppose
is a subgroup of
of index
, so
corresponds to an element of
. First suppose
is not
contained in
. Then the image of
in
is of order
, so if
, then
and
, and
is the only subgroup
with this property. Second, suppose that
if of
index
and that
corresponds to
. Then every
one of the
subgroups
of index
contains
. Thus there are
chains
with
.
The chains
with
and
are in bijection with the elements of
. On the other hand the union of
with
copies of
corresponds to the subgroups
of index
, but with those that contain
counted
times. The
structure of the set of chains
that we
derived in the previous paragraph gives the result.
Corollary 2.30
The Hecke operator
, for prime
, is a polynomial
in
with integer coefficients, i.e.,
.
If
are any integers, then 
Proof
The first statement follows from (5) of
Proposition 2.29. It then follows that
when
and
are both powers of a single prime
.
Combining this with (4) gives the second
statement in general.
Proposition 2.31
Let
be a modular function
of weight
.
Then
In particular, if
is prime, then
where
if
.
Proof
This is proved in [Ser73, Section VII.5.3] by writing
out
explicitly and using that
is
if
and
otherwise.
Corollary 2.32
The Hecke operators preserve
and
.
Remark 2.33
Alternatively, for
the above corollary is
Proposition 2.28, and for
we see from the
definitions that if
, then
also vanishes
at
.
Example 2.34
Recall from (3) that
Using the formula of Proposition 2.31, we see that
Since
has dimension
and since we have proved that
preserves
, we know that
acts as a scalar. Thus
we know just from the constant coefficient of
that
More generally, for
prime we see by inspection of
the constant coefficient of
that
In fact
for any integer
and even weight
.
Example 2.35
By Corollary Corollary 2.32, the Hecke operators
also
preserve the subspace
of
. Since
has dimension
(spanned by
), we see that
is an eigenvector
for every
. Since the coefficient of
in the
-expansion
of
is
, the eigenvalue of
on
is the
coefficient of
. Since
for
,
we have proved the nonobvious fact that the
Ramanujan function
that gives the
coefficient of
is a multiplicative function, i.e.,
if
, then
.
Remark 2.36
The Hecke operators respect the decomposition
, i.e., for all
the series
are
eigenvectors for all
.
This section is about how to compute matrices
of Hecke operators on
.
Algorithm 2.37
This algorithm computes the matrix of the Hecke operator
on the
Miller basis for
.
[Dimension] Compute
using
Corollary 2.16.
[Basis] Using Lemma 2.20, compute the echelon basis
for
.
[Hecke operator] Using Proposition 2.31, compute
for each
the image
.
[Write in terms of basis] The elements
determine linear combinations of
These linear combinations are easy to find once we compute
, since our basis of
is in
echelon form. The linear combinations are just the coefficients
of the power series
up to and including
.
[Write down matrix] The matrix of
acting from the right
relative to the basis
is the matrix whose
rows are the linear combinations found in the previous step,
i.e., whose rows are the coefficients of
.
Proof
By Proposition 2.31, the
coefficient
of
involves only
and smaller-indexed coefficients
of
. We need only compute a modular form
modulo
in
order to compute
modulo
.
Uniqueness in step (4) follows from Lemma 2.20
above.
Example 2.38
We compute the Hecke operator
on
using the above
algorithm.
[Compute dimension] We have
.
[Compute basis] Compute up to (but not including) the
coefficient of
. As given in
the proof of Lemma 2.20, we have
Thus $M_{12}$ has basis
Sage does the arithmetic in the above calculation as follows:
sage: R.<q> = QQ[['q']]
sage: F4 = 240 * eisenstein_series_qexp(4,3)
sage: F6 = -504 * eisenstein_series_qexp(6,3)
sage: F4^3
1 + 720*q + 179280*q^2 + O(q^3)
sage: Delta = (F4^3 - F6^2)/1728; Delta
q - 24*q^2 + O(q^3)
sage: F4^3 - 720*Delta
1 + 196560*q^2 + O(q^3)
[Compute Hecke operator] In each case letting
denote
the
coefficient of
or
, respectively, we
have
and
(Note that
.)
[Write in terms of basis] We read off at once that
[Write down matrix] Thus the matrix of
, acting from the
right on the basis
,
, is
As a check note that the characteristic polynomial of
is
and that
is the sum of the
powers of the divisors of
.
Example 2.39
The Hecke operator
on
with respect to the echelon
basis is
It has characteristic polynomial
where the cubic factor is irreducible.
The echelon_form command creates the space of modular forms but with basis in echelon form (which is not the default).
sage: M = ModularForms(1,36, prec=6).echelon_form()
sage: M.basis()
[
1 + 6218175600*q^4 + 15281788354560*q^5 + O(q^6),
q + 57093088*q^4 + 37927345230*q^5 + O(q^6),
q^2 + 194184*q^4 + 7442432*q^5 + O(q^6),
q^3 - 72*q^4 + 2484*q^5 + O(q^6)
]
Next we compute the matrix of the Hecke operator
.
sage: T2 = M.hecke_matrix(2); T2
[34359738369 0 6218175600 9026867482214400]
[ 0 0 34416831456 5681332472832]
[ 0 1 194184 -197264484]
[ 0 0 -72 -54528]
Finally we compute and factor its characteristic polynomial.
sage: T2.charpoly().factor()
(x - 34359738369) * (x^3 - 139656*x^2 - 59208339456*x - 1467625047588864)
The following is a famous open problem about Hecke operators on
modular forms of level
. It generalizes our above observation that
the characteristic polynomial of
on
, for
,
factors as a product of a linear factor and an irreducible factor.
Conjuecture 2.40
The characteristic polynomial of
on
is irreducible for
any
.
Kevin Buzzard observed that in several specific cases the Galois group of
the characteristic polynomial of
is the full symmetric group
(see [Buz96]). See also [FJ02] for more
evidence for the following conjecture:
Conjuecture 2.41
For all primes
and all even
the characteristic
polynomial of
acting on
is irreducible.
How difficult is it to compute prime-indexed coefficients of
Theorem 2.42
Let
be a prime. There is a probabilistic algorithm to compute
, for prime
, that has expected running time polynomial
in 
Proof
See [ECdJ+06].
More generally, if
is an eigenform in some space
, where
, then one expects that there is an
algorithm to compute
in time polynomial in
. Bas
Edixhoven, Jean-Marc Couveignes and Robin de Jong have proved that
can be computed in polynomial time; their approach involves
sophisticated techniques from arithmetic geometry (e.g., ‘etale
cohomology, motives, Arakelov theory). The ideas they use are inspired
by the ones introduced by Schoof, Elkies and Atkin for quickly
counting points on elliptic curves over finite fields (see
[Sch95]).
Edixhoven describes (in an email to the author) the strategy as follows:
Galois representation
associated
to
. In particular, we produce a polynomial
such that
is the fixed field of
. This is then used
to obtain
and to do a Schoof-like algorithm
for computing
.
on the modular Jacobian
to do part (1) (see
[DS05, Ch. 6] for the definition of
).
in some sense
(e.g., over the complex numbers or modulo many small primes
)
and to use an estimate from Arakelov theory to determine a
precision that will suffice.This section, which was written jointly with Kevin McGown, is about
computing the Bernoulli numbers
, for
, defined in
Section Fourier Expansions of Eisenstein Series by
(6)
One way to compute
is to multiply both sides of
(?) by
and equate coefficients of
to obtain the recurrence
This recurrence provides a straightforward and easy-to-implement
method for calculating
if one is interested in
computing
for all
up to some bound.
For example,
and
However, computing
via the recurrence is slow; it requires
summing over many large terms, it requires storing the numbers
, and it takes only limited advantage of
asymptotically fast arithmetic algorithms. There is also an inductive
procedure to compute Bernoulli numbers that resembles Pascal’s
triangle called the Akiyama-Tanigawa algorithm (see
[Kan00]).
Another approach to computing
is to use Newton
iteration and asymptotically fast polynomial arithmetic to approximate
. This method yields a very fast algorithm to compute
modulo
.
See [BCS92] for an application of this
method modulo a prime
to the verification of
Fermat’s last theorem for irregular primes up to one million.
Example 2.43
David Harvey implemented the algorithm of [BCS92] in Sage as the command bernoulli_mod_p:
sage: bernoulli_mod_p(23)
[1, 4, 13, 17, 13, 6, 10, 5, 10, 9, 15]
A third way to compute
uses
an algorithm based on Proposition 2.8,
which we explain below (Algorithm 2.45).
This algorithm appears to
have been independently invented by several people: by Bernd C.
Kellner (see [Kel06]); by Bill Dayl; and by H. Cohen and
K. Belabas.
We compute
as an exact rational number
by approximating
to very high precision using
Proposition 2.8, the
Euler product
and the following theorem:
Theorem 2.44
For even
,
Proof
See [Lan95, Ch. X, Thm. 2.1].
¶The following is a new quick way to compute the number of digits of
the numerator of
. For example, using it we can compute the
number of digits of
in less than a second.
By Theorem 2.44 we have
. The number of digits of
the numerator is thus
But
and
so
.
Finally, Stirling’s formula (see [Ahl78, pg. 198–206])
gives a fast way to compute
:
(7)
We put quotes around the equality sign because
does
not converge to its Laurent series. Indeed, note that for any fixed
value of
the summands on the right side go to
as
! Nonetheless, we can use this formula to very efficiently
compute
, since if we truncate the sum, then the
error is smaller than the next term in the infinite sum.
Exactly¶We return to the problem of computing
. Let
so
. Write
with
,
, and
.
It is elementary
to show that
for even
.
Suppose that using the Euler product we approximate
from below by a number
such that
Then
hence
It follows that
and hence 
It remains to compute
.
Consider the following problem:
given
and
, find
so that
satisfies
.
We always have
.
Also,
so
Thus if
, then
so
, as required.
For our purposes, we have
and
,
so it suffices to take
.
Algorithm 2.45
Given an integer
, this algorithm computes
the Bernoulli number
as an exact rational number.
, return
; if
, return
;
if
is odd, return
.
to sufficiently many digits of precision so
the ceiling in step (6) is uniquely determined
(this precision can be determined using
Section The Number of Digits of ).
.
] Compute
.
.
] Return
.In step (5) use a sieve to compute all primes
efficiently (which is fast, since
is so small). In
step (4) we may replace
by any integer greater
than the one specified by the formula, so we do not have to compute
to very high precision.
In Section Computing Generalized Bernoulli Numbers Analytically below we will generalize the above algorithm.
Example 2.46
We illustrate Algorithm 2.45 by computing
.
Using 135 binary digits of precision, we compute
The divisors of
are
, so
We find
and compute
Finally we compute
so
Exercise 2.1
Using Proposition 2.8 and the table found here, compute
explicitly.
Exercise 2.2
Prove that if
is odd, then the Bernoulli number
is
.
Exercise 2.3
Use (3) to write down the coefficients of
,
,
, and
of the Eisenstein series
.
Exercise 2.4
Suppose
is a positive integer with
.
Suppose
are integers with
.
.
Exercise 2.5
Compute the Miller basis for
with precision
. Your answer will look like Example 2.23.
Exercise 2.6
Consider the cusp form
in
. Write
as a polynomial in
and
(see Remark 2.25).
Exercise 2.7
Let
be the weight
Eisenstein series from
equation (1). Let
be the complex number so that the
constant coefficient of the
-expansion of
is
. Is it always the case that the
-expansion of
lies
in
?
Exercise 2.8
Compute the matrix of the Hecke operator
on the Miller basis
for
. Then compute its characteristic
polynomial and verify it factors as a product of two irreducible
polynomials.
What Next? Much of the rest of this book is about methods for
computing subspaces of
for general
and
.
These general methods are more complicated than the methods presented
in this chapter, since there are many more modular forms of small
weight and it can be difficult to obtain them. Forms of level
have subtle connections with elliptic curves, abelian varieties, and
motives. Read on for more!